Introduction
IF WE ARE ABLE to accept from our previous analysis that the termination “69th week” of Daniel’s Seventy Weeks prophecy is the years 1948/1967 AD, the years in which the prophet Daniel predicted the Jews would begin to return from exile to rebuild the town and walls of the city of Jerusalem, then the “Time of the Gentiles” should have ended just after the Second World War. Similarly, if we accept the theory that Mohammed is the fulfillment of the Antichrist spoken of by the prophet Daniel and St. John of the Book of Revelation, then the ending dates of Revelation should have been either 1897 AD or 1948 AD, depending on the starting point of the “42 months” (of Rev 12 and Rev 13) related to the trampling and destruction of Jerusalem. This starting point can be measured from the invasion of Jerusalem by Omar in the year 637 AD or from the construction of the Dome of the Rock in the year 688 AD. We know that they years have passed without the true fulfillment of the final events prophesied for our times, so the Preterists, Futurists and other skeptics will say that the Historicist method of prophetic interpretation is false, and that the Historicist authors were wrong all along in approaching the decoding of the prophecies through historical events. Still, the fact remains that we can see that amazing exact historical fulfillment of the 1260 years and Seven Times prophecies which point to historical ending time frames which calculate and arrive at the years 1878, 1882, 1897, 1917, 1948 and 1967, all which are significant dates around modern Jewish history and migration of the Jews back to the Holy Land and Jerusalem, and the decline and defeat of the surrounding Muslim nations fighting for the extinction of the State of Israel. shown in the book of Revelation are used throughout the various chapters to describe the Great Drama between good vs evil. Many of these symbols and characters must be correctly understood in order to reach a successful interpretation. There are often multiple instances describing these symbols in different contexts. For example, we se different “women” described in various scenes, such as the “Woman Clothed with the Sun, The Mother of Harlots, The Bride of the Lamb.” Other times, we are shown events described by the heavenly bodies – the Sun, the Moon and the Stars. Often times these visions give the reader a sense of some meteor shower, solar eclipse or lunar eclipse. Many interpreters of the Futurist/Dispensationalist camp will take these events literally, often proposing grand visions of catastrophic and ominous events in the sky.
In today’s article, we will attempt to resolve and link the discontinuities in the “times” between the ending dates of the Seven Times, Daniel and Revelation in the previous blog posts and explain why the “Times of the Gentiles” are not 100% fully completed at the present time, and why we still await the final fulfillment of events declared by the “servants the prophets” prior to the completion of the “Days of the Voice of the Seventh Angel” (Rev ch. 10). One only need to turn on today’s news and see what is going on in the middle east to realize that the surrounding nations are gathering and getting ready to bring the “days” to a completion. It will be shown that the Historicist method of interpretation is still very relevant for our times in the 20th and 21st century and can aid and provide spiritual insight into the great human drama for the student of prophecy.
We will examine a critical prophecy of a Christian monk named Agathangelos, who had an amazing vision of future events in European History in the year 1279. Agathangelos may ultimately provide the missing link between Daniel and Revelation and assist with looking ahead to the remaining events yet to be fulfilled. It seems he was given a very important “key” to unlocking the seal to the dates in both of these prophetic books in the bible. And as we examine his prophecy of golden ratio numbers, we will then come to understand their significance in resolving dates that are related to the years 1948 and 1967.
Introduction of the Prophecies of Agathangelos
Ieronymos Agathangelos was born in 1279 A.D. He was a priest/monk and confessor, born in Rhodes. He lived in a Cenobitic monastery for 51 years His prophecies deal primarily with the fall of the Byzantine Empire to the Ottomans, and it’s capital’s (Constantinople) eventual restoration back to life as a Christian capital. By his own testimony, he states that in his 79th year of age, he was at Messina of Sicily, where, at dawn on the 1st Sunday of Lent (known as the Sunday of Orthodoxy) he experienced a majestic vision by which many future events were foretold to him:
- The fall of Constantinople, the predicted year when it would happen along with a time of which Greece’s liberation from the Ottoman Empire would occur
- The shaping of European History after it’s fall in 1453 A.D
- Western Europe’s Protestant Reformation, through Luther, against the Papacy
- Napoleon’s action, his campaign and fall in Russia
- The partition of Austria, and the German Kaiser’s banishment after World War 1
- Russia’s Sovietization
- Germany’s defeat and dismemberment after World War II
- Events of the next world war, in detail, before it and after it’s results
- The final victory of apostolic Christianity
What is amazing about his prophecies is the year and time in which it was received, a little interesting fact which no previous commentator has ever highlighted yet. It was claimed to occur on the Sunday of Orthodoxy in the year 1279. This is EXACTLY a “time of times and a half of a time” or “1260 days” after the birth of Christ measured using the solar calendar years. Since Christ is associated as the “Light of the World” and “Sun of Righteousness”, it is no wonder that the solar calculation of 365.25 days/year for the prophetic year or “time” is confirmed here in the year the vision was received. It is almost as if the year and timing of the vision is stamped by the signature of Christ himself, the author of the “times” prophecies.
- 25 days/year (solar calendar) x 3.5 years = 1278.375
- 1 AD (birth of Christ) + 1278.375 = 1279.375 AD
This vision was given around the month of April 1279 AD, the Sunday of Orthodoxy, exactly 1279.37 years after the birth of Christ, on the first Sunday of Lent commemorating the Seven Ecumenical Councils and the victory of the Church over all heresies.
Agathangelos combined all of his prophecies in a book composed of ten chapters. By far it contains the most detailed and extensive apocalyptic prophecies to come out of Eastern Orthodox Christianity. I would almost equate Agathangelos as a “Greek Nostradamus”, in terms of the symbolic mythological style of his prophecies, the accuracy of many of his fulfilled prophecies with respect to the shaping of European History after the fall of the Byzantine empire, and especially the fact that he divided his prophecies into 10 chapters (like Nostradamus’s 10 “centuries” in which his quatrains are organized). The proof of divine inspiration is demonstrated through the fulfillment of many of his prophecies. We will not cover them here but will highlight a few key prophecies. The introduction to his book provides valuable insight into the content, and we are told that we must combine his prophecies to tie up some loose ends in the prophecies of Ezekiel, Isaiah and Revelation. The opening paragraph says the following:
“Oh, Agathangelos, servant of the Lord, add the following prophecy to those by other prophets, observe carefully the visions of Ezekiel, of Isaiah, and realize what parts are missing from chapters 38 and 39 of Ezekiel, that they may become completed, for these events will happen at the same time; following this, add this complete prophecy to the one by the son of Zebedee and compare your apocalypse with the ones by the aforementioned prophets; what they saw and said and wrote about for the benefit of the Hebrews. Therefore, you too, do the same for the sake of the Christian peoples, whom He purchased with His own blood, so that the new ordering of (all these prophecies) opens your eyes and instructs you to the effect that you entertain no more doubts concerning the future.”
Before resolving dates in Daniel and Revelation, lets first focus on the above introduction before we examine his prophecy of what I have named as the “golden ratio numbers” which will be more relevant to our discussion. Since we know that many of his prophecies are historically shown to have been fulfilled exactly as prophesied, it gives the prophet more credibility regarding events that have not been fulfilled yet. We notice in the above paragraph that Agathanghelos was given information that is will be crucial in piecing together prophecies Ezekiel, Isaiah and Revelation with other Byzantine-era Orthodox prophecies. He is also told that the prophecies he was about to receive for his own Greek people were related to the Hebrew prophecies such that they fill in missing pieces of information to the biblical apocalypses. Now let’s move on to examine the Agathangelos prophecy of the golden numbers, which will prove critical in our analysis of Daniel and Revelation dates and times.
Agathangelos “Golden-Ratio Numbers” Prophecies
Agathangelos provides a mysterious prophecy of numbers which is an interesting riddle for us to try to interpret. They are made in reference to a new future happy era for humanity and Constantinople. Here are the two passages:
“Son of Man, unite the fifty-first to the thirty-fourth, and you shall see the perfect reckoning. Far be it, that Byzantium’s greatly afflicted and utterly grieved blood should merge and co-exist”
“Son of man, join the fifty-first and second to the thirty-fourth. Then know the constant happiness for you and for yours, which the Saint among the saints has offered you”
What did Agathangelos see in the importance of these numbers, and why were they split up as such? How are they related to events in Byzantium or Constantinople? What is the significance with other prophecies of Ezekiel and Revelation and other prophets? The possible mathematical equations are:
- 51 + 34 = 85 years
- 51 + 2 + 34 = 87 years
Up to the present day, this prophecy of adding “34 + 51 + 2” has been uninterpretable and not fully understood by any of the end-times scholars who wrote about this mysterious prophecy. The work presented here is the most extensive analysis so far to date by any commentator of end-times prophecies in attempting to unlock the mystery of the numbers. Were these numbers representing years? months? days? weeks?
The numbers 51 and 34 have hidden significant as well, and when they are combined it appears to match the year in which the Byzantine Empire fell to the Ottomans. If we follow the commandment and combine the numbers 51 and 34 by first taking the second digits of each number and then combine it with the first digits of each number, we have:
“Unite” and “Join” 51 and 34 >>> 1, 4, 5, 3 >>>> 1453 AD
This somehow brings to light the significance of these numbers in showing they are related to the fall of Byzantium. But how? Earlier commentators like Apostolos Makrakis in 1905 suspected that the numbers in the prophecy represented years and were using the numbers to extend the length of time permitted to the Islamic Beast to rule, since he originally called for a fulfillment of the end times and the fall of the Ottoman Empire to occur in the year 1897. He appears to have been on the right path with an early attempt at the calculations. But it was impossible for him to see the significance of where to start the timeframe of measurement relating to events in Jerusalem. He came very close with some of his calculations by calling the ending of the “times” to the year 1946 AD as his last possible date of completion. Nelios Sotiropoulos in 1973 in his book “The Coming and Sharp Two Edged Sword” is credited to applying the dates to resolve the year 1897, 1948 and 1984 (the end of the 70 weeks of Daniel). However he was calling for the fulfillment of all prophecies of Daniel and Revelation by the year 1984. And he did not fully comprehend the significance of the numbers related to the year 1453.
Let’s review some of the mathematics behind the numbers: Agathangelos in another prophecy mentions a coming century that would bring forth the “golden-tenth” number.
“The terrible century shall forward the golden-tenth number. Then honey and milk will flow in everything, the sea storms shall cease, and for full fifty years shall peace reign. (…) The golden number made up of a single syllable analyses breaking the term; peace will be seen on earth; peace will be seen on earth; the decline of those from Agar follows; then the Apostolic Church shall triumph”
This prophecy makes a reference to a “golden-tenth” number and “golden number”. This is very similar in concept to the “golden ratio” and “divine proportion” associated often with the Fibonacci sequence of numbers. One wonders if Agathangelos was a mathematician and scientist in Italy prior to living in the monastery. It was around the same time that an Italian mathematician Fibonacci developed what would be called the Fibonacci sequence, and published his work Liber Abaci in the year 1202 AD. This is very close to the time period and location to Agathangelos living in Sicily in 1279 AD. In the Fibonacci sequence of numbers, each number is the sum of the previous two numbers. Fibonacci began the sequence not with 0, 1, 1, 2, as modern mathematicians do but with 1,1, 2, etc. The Fibonacci sequence is defined as follows: 1, 1, 2, 3, 5, 8, 13, 21, 34, 55, 89, 144, 233, 377.

Leonardo Fibonacci – Italian mathematician (1175 –1250 AD)
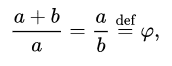
The “golden-ratio” is derived as the ratio of the numbers to the previous number. This term is also called the golden mean, golden section, divine proportion, divine section, golden proportion, golden cut and finally, the golden number. So then it appears that Agathangelos is calling out the golden ratio and perhaps the tenth number in the Fibonacci series. Let’s see if we can correlate 51 and 34 and 2 to the Fibonacci sequence.
- The sequence again is: 0, 1, 1, 2, 3, 5, 8, 13, 21, 34, 55, 89, 144, 233, 377.
- Fibonacci didn’t include 0 so his sequence is defined as: 1, 1, 2, 3, 5, 8, 13, 21, 34, 55…
- Let’s consider the first ten numbers in the sequence to arrive at the “golden-tenth”
- We notice the 10th in the Fibonacci sequence is: 34
- The 4th number in the sequence is: 2
- The sum of the other numbers from the 3rd number to the 8th: 51
- 1 + 3 + 5 + 8 + 13 + 21 = 51
- not including the 4th number “2” in the sequence already considered
- The “golden ratio” typically would take numbers of the two consecutive Fibonacci numbers. So typically the number 34 should be combined with 55, and their ratio expressed by the following equation.

- The “golden ratio” typically would take numbers of the two consecutive Fibonacci numbers. So typically the number 34 should be combined with 55, and their ratio expressed by the following equation.
- The Golden Ratio or Golden Number is defined as:

- If we select the tenth number in the sequence counting from 0, the number is 34
- If we select the tenth number in the sequence counting from 1 (Fibonacci’s original series), the tenth number is 55
- The Golden Ratio of 55 and 34 = 1.61. These numbers added together equal 89.
- 34 + 55 = 89

Golden Ratio of Fibonnaci Numbers 34 + 59 = 89 Years
- Whereas, the numbers of Agathangelos are a truncated form of the golden ratio as:
- 34 + 51 + 2 = 87, or 34 + 51 = 85
- There are 3 numbers to consider with application to the numbers: 85, 87 and 89.
- 87 is the midpoint of the sequence of the 3 number

It appears that through this particular prophecy uniting 34+51+2, Agathanghelos is telling us to consider (at least a variant of) the divine proportion and golden number for interweaving the prophecies of Daniel and Revelation. It would seem fitting. The divine prophecies of God showing some sort of relationship with the Golden Ratio. As we know, in nature the divine proportion is well understood and mysterious logarithmic pattern based on the Fibonnaci sequence, and points to some evidence of a “miraculous spiral” or divine design in the creation of the universe and often found in nature such as formation of plants and flowers.
So where in the history of Jerusalem and Israel can we find evidence of these numbers and their application? Do we apply them as years? What do these numbers represent in relation to the dates of Daniel and Revelation. The answer is simple – there is relevant historical information related to the history of Jerusalem and the temple mount that is very relevant to the numbers 85, 87 and 89.
And here is the answer:
87 years (i.e. 34 + 51 + 2) is equivalent to the length of time that the Latin Kingdom was established by the 2nd Crusade, from July 1099 to 1187, thus temporarily suspending the length of time the Mohammed Beast would ‘trample on the city for 42 Months’. When the Crusades came to ‘liberate’ Jerusalem, the Dome of the Rock was temporarily converted to a Church. While the Omar Temple still was ‘physically’ on the Temple Mount during the Reign of the Crusades, Jerusalem was not under control of Islam, and thus the daily Islamic sacrifices were stopped, and Christian liturgies were celebrated in this building. And it was because of this event that we are told by Agathanghelos that additional numbers of 51, 2 and 34 provides the missing link between the ending dates in Revelation and Daniel, accounting for the length of the Crusades And the splitting up of these 87 years was revealed in such a way so that when you add them to the end of Daniel and Revelation, they reveal other very important historic dates in the history of the Old Zion Jerusalem, and the New Zion Constantinople, which may have been his intention for us to ‘see a perfect recognition’ of world events. As we saw earlier, the ending date for the 1260 years in Revelation is 1897, which is different than the ending date of Daniel’s Prophecy of 1984. So, the 88 years of Latin Rule needs to be added to the end of 1260 using the numbers 85 and 87 to see the perfect relationship to with the ending dates of Daniel and Revelation. It appears the additional numbering of 87 years must be combined with 1948 and 1967, due to the Latin Kingdom occupation in order to arrive at the correct year when the Jews will accept Christ and begin construction of their “Christian” temple.
- 1948 + 87 = 2035 AD
- 1967 + 87 = 2054 AD

On July 15th, 1099 Jerusalem fell to the Crusaders after a five-week siege. The city’s populations underwent a significant change. Western culture now took center-stage, with French spoken as the day-to-day language and Latin used in the church services. Many of the inhabitants were replaced by European and Eastern Christians. Under the Crusaders Jerusalem once more assumed a Christian character, they renewed Christian traditions and rebuilt churches and monasteries. The holy sites on the Temple Mount were declared Christian. The Temple Mount was the seat of the Templars, an order of monastic knights whose names derived from their location. Finally, in 1187, Jerusalem fell to Islam through the capture by Saladin, putting an end to the Crusader Kingdom of Jerusalem. The great golden cross that stood above the Dome of the Rock was toppled and shattered, to be replaced by the crescent, the symbol of Islam.
Regarding the dates of the Latin Rule in Jerusalem, we find in the Oxford Illustrated History Of Christianity on page 205 regarding the Crusades:
“In the course of the eleventh century, emergent powers in the western Mediterranean committed themselves to campaigns against Islam and used them to establish their moral and political authority. When appeals were received from Constantinople and Jerusalem for protection against Turkish oppression, they were heard by Urban II, a French pope who already had close links with holy war in the western Mediterranean; and at the Council of Clermont in 1095 he proclaimed a great expedition for the relief of Jerusalem, which we know as the First Crusade. For several decades, the Western effort in the East was crowned with success. Jerusalem was captured in 1099, and by 1153 the whole Syrian coastline from Ascalon to Antioch was in Latin hands. It was only with the unification of Islam under Nureddin, and still more his successor Saladin, that Jerusalem was recovered for Muslim Rule in 1187.
From The Story Of Christianity, Volume 1 on pages 295-297:
“The army finally caught it’s first glimpse of the Holy City on June 7, 1099 (…) The crusaders swept into the city that was the goal of their long campaign. It was July 15, 1099. (…) For a while the Kingdom of Jerusalem grew strong, and under Amalric I it even extended as far as Cairo. But then the Moslems began to regroup and, under the leadership of the sultan of Egypt, Saladin, took Jerusalem in 1187.”
And finally, in Christianity Through The Centuries on page 221-222:
“Finally, in June 1099 they captured Jerusalem” (…) And with the conquests of the Second Crusade, “This failure was followed by the recapture of Jerusalem by Saladin, the Muslim leader, in 1187“
And through later years during the Sixth Crusade, in which a treaty was negotiated with the Muslims, the Dome of the Rock remained under Islamic rule. So in that particular crusade conquest, the time clock for the Abomination of Desolation continued and was not temporarily stopped.
It is very important to note, if we take into account the scaling of the actual number of 88.3 years of Latin Rule from solar (365.25 days) years into biblical years (360 days), the resulting conversion of the Latin Rule calculates to exactly 87 years (with some rounding to the nearest tenth or hundredth of a significant decimal digit of precision). Therefore, we can still be confident that the biblical numbers 34+51+2 is numerically equivalent the the actual solar dates of the Latin Kingdom rule. See the calendar conversion analysis of the Latin Kingdom in the table below:

Based on our analysis for the dates of the Crusades and the prophecies of Agathangelos, it appears we have a range and midpoint of numbers. The midpoint is 87 years, with a range of 4 years between 85 and 89 years. . Therefore, using the range between 85 to 89 years based on the actually occupation time of the Crusades in Jerusalem, and using the number 85 from Agathangelos, we can derive the additional dates for consideration:
- 1948 + 85 = 2033 AD
- 1948 + 89 = 2037 AD
- 1967 + 85 = 2052 AD
- 1967 + 89 = 2058 AD
We should also note that the calculations deriving 2033 AD and 2037 AD closely align with the timing of the 69th week and return/restoration of the Jewish Nation from the 444 BC decree to rebuild the town and walls of Jerusalem. So we appear to have a relationship between the time of the return of the Jewish Nation until the “Sixty Ninth” week and time “Unto Messiah The Prince” to range between the year 2033 AD and 2039 AD.
To summarize what we have learned so far, it is necessary for us to take into consideration that the Muslims did not have maintain any control or have access to worship in the Omar Temple for 88.3 years when it was converted to a church by the Crusades. Therefore, the calculation to ‘trample on the Holy City for forty-two months’ has to be modified slightly to take this 88.3 year time lapse. It is this lapse in time that actually connects the ending dates in Daniel with the ending dates in Revelation, and extends the time beyond 1948 for full complete fulfillment of the times! Even if you still remain skeptical on the authenticity of Agathangelos’s prophecies as having the spark of divine truth because it is not part of scripture, we still should have no problem accepting the fact we actually might need to account for the Latin Kingdom of the Crusades within the scope of an Islamic Beast. After all, the Futurist have no problem inserting a 2000 year “gap” with the prophecies of Daniel to account for their final 7 years of tribulation. Why not a gap for the Abomination of Desolation rule? At the end of the day, the 88.3 (or 87) year lapse in time needs to be taken into account in factoring dates if we are to believe in the validity of the Historicist method of interpretation of Daniel and Revelation.
Regardless, it can be demonstrated that Agathanghelos additional numbers of 51, 2 and 34 provides the missing link between the ending dates in Revelation and Daniel. And when we split up calculated biblical equivalent 87 years of Latin rule into their discrete parts (51, 34, 2), and then add them to the end of Daniel and Revelation, they reveal many other significant historic dates for the nation of Israel. This absolutely must have been the intention for Agathangelos to have us come to ‘see a perfect recognition’ of world events within these prophecies. Since these visions were given to him in 1279 A.D, Agathanghelos obviously would have known through historical records the number of years for the occupation of Jerusalem by Western Christians, since he lived well after the fall of Jerusalem to Saladin. It is through these golden number prophecies, that God provides the final key to discovering the fulfillment of the 70-weeks prophecy given to Daniel. History confirms that the Dome of the Rock was temporarily converted to a church, with a Latin Cross on the Dome, therefore, the practicing of the Islamic faith was temporarily suspended and needs to be accounted for with our calculations.
Let’s now examine how the golden ratio numbers 51, 34 and 2 are applicable with the dates of Daniel and Revelation proposed in our previous articles. First we need some key dates of Jerusalem in our calculations:
- 571 = Mohammed Born
- 622 = Mohammed begins prophetship
- 636 = Jerusalem under siege
- 637 = Treaty signed with Omar II, temple mount trampled
- 650 – 656 = Koran compiled in written form.
- 688 = Dome of the Rock Construction
- 1897 = Zionism movement
- 1912 = 1st Balkan War
- 1914 = Start of World War 1
- 1917 = Balfour Declaration
- 1933 = Jewish Holocaust Begins
- 1948 = State of Israel
- 1967 = Jerusalem Captured
Application of the sequence of numbers 51, 34 and 2:
- 587 BC + 51 = 536 BC
- 571 AD + 51 = 622 AD
- 637 AD + 51 = 688 AD
- 654 AD + 34 = 688 AD
- 637 + 1260 = 1897 AD
- 622 + 1290 = 1912, 1st Balkan War
- 1878 + 34 + 2 = 1914
- 1912 + 2 = 1914
- 1882 + 51 = 1933
- 688 + 1260 = 1948
- 1914 + 34 = 1948
- 1897 + 51 = 1948
- 1914 + 2 + 51 = 1967
- 1933 + 34 = 1967
- 1948 + 34 + 2 = 1984 (70th week of Daniel ends).
It is clear these Fibonacci-related golden ratio numbers of 34, 51, and 2 tie together the dates of ending dates of different 1260 year periods to 1948 and 1967. See figure below for a graphic visualization of the fulfillment of the times including these numbers (golden number combinations are highlighted in red font):

Future Application of the Dates of Daniel and Revelation
Even though these numbers provide a link to 1948 and 1967 does not mean we are done with the times. Remember in Daniel Chapter 12 we are given a 75 year “extension” to the 1260 “days” with the arrival of the 1335 “days”:
Daniel 11-12 – “And from the time that the time-continuity shall be altered and the desolation horror be given ‘permission to act’, there shall be a thousand two hundred and ninety days. Blessed is he that waits in endurance and reaches the thousand three hundred and thirty five days”
- 87 years = 51+2+34 = Length of Latin Kingdom Rule During Crusades in which the Omar Temple is a Church from July 1099 to 1187.
- It is historically witnesses that the “time continuity” of Christ was altered in 622 AD by Mohammed with his new Hegira calendar.
- 622 + 1335 + (51 + 2 + 34 = 87) = 2044 A.D.
- 688 + 1260 + (51 + 2 + 34 = 87) = 2035 A. D.
- 1948 + (51 + 2 + 34 = 87) = 2035 A.D.
- 1984 + 51 = 2035 A.D.
- 1984 + 51 + 2 = 2037 A.D.
- 1967 + (51 + 2 + 34 = 87) = 2054 A.D.
- 637 + 1335 + (51 + 2 + 34 = 87) = 2059 A.D.
- 688 + 1290 + 51 + 2 + 34 = 2065 A. D.
Concluding Remarks
In summary, the solution to the prophetic golden ratio numbers of Agathanghelos, in which the additive result of his numbers of 34+2+51 equaling 87, provides the missing link required to bring the end dates of Daniel and Revelation together. This overall golden number 87 is representative of the Latin Reign in Jerusalem (in which the Omar Temple was temporarily converted to a church for the equivalent 88.5 solar years).
Examination of the prophecies of the Seven Times, the Seventy Weeks of Daniel with respect to the Jewish Return in the 69th week, the trampling of Jerusalem by the Islamic Antichrist in Revelation, and combining all of these together with the prophetic golden numbers of Agathangelos, we can now finally see a consistent pattern and correlation of all of the dates that are derived from these prophecies with significant historical facts centered around the holy city of Jerusalem. It is clear that God has planned a final completion of the times to occur within 87 years after 1948 and 1967 due to the extension of the times caused by the Crusade rule of Jerusalem and the Temple Mount. Through these biblical and non-biblical prophecies, our Lord Jesus Christ provides the insight into when these events will be fulfilled in our approximate near future within a few decades. Note that these proposed future dates shown here in this article are simply “forward looking” calculations, and it also should be stated that these computations do not in any way, shape or form predict the Second Coming. That event is immeasurable according the scriptures as “no one knows the day nor the hour”. However, it is clear that the prophecies of Daniel and Revelation were ultimately given not to predict the time of the second coming, but to use to measure a specific finite time period of God’s plan for the arrival of the “time of the end” and the “restoration of the Jewish nation” to repent and acknowledge Jesus Christ as their messiah. Most of these prophecies are a gift from God to be used only the fact as a witness to the miracle of his work, because “prophecy is a continued miracle. The more time goes on and by, the more this miracle becomes greater. Time makes the other miracles get old and decayed. But time makes the prophecy miracle constantly greater.” The future will only serve to validity any of these dates and confirm if they do (after the fact) coincide with monumental events centered around Israel. They will also serve to confirm the prophesied Liberation of Constantinople and great era of peace and happiness with the arrival of Daniel’s 1335 days, and the construction of the Third Temple.
© 2018 by Jonathan Photius
